충남대이적
상태의 연구소
충남대이적
전체 방문자
오늘
어제
  • 분류 전체보기 (34)
    • 프로젝트 (0)
      • 6족보행로봇 프로젝트 (4)
    • C,C++ (6)
    • python (0)
    • ROS2 (0)
    • 동역학 (9)
    • 독후감 (5)
    • 생각 정리 (0)

블로그 메뉴

  • 홈
  • 독후감
  • 방명록

공지사항

인기 글

태그

  • 일
  • C++
  • 강체의 일
  • 강화학습 적용예시
  • 전기전자지식
  • 6족보행로봇
  • 쇼생크탈출리뷰
  • 의식적인 연습
  • REINFORCE
  • 3차원 강체 운동학
  • 미적분의 힘
  • 상대운동해석
  • pick and place
  • 강화학습
  • 로봇제작
  • 동역학
  • VPG
  • 미적분의 기본정리
  • 질점의 운동학
  • 디버깅팁

최근 댓글

최근 글

티스토리

hELLO · Designed By 정상우.
충남대이적

상태의 연구소

[동역학] 질점의 운동학(Kinetics of particle)
동역학

[동역학] 질점의 운동학(Kinetics of particle)

2022. 9. 17. 16:36

위치, 속도, 가속도

 

질점의 직선운동이건, 곡선운동이건 직교좌표계를 기준으로 속도,가속도의 공식은 동일합니다.

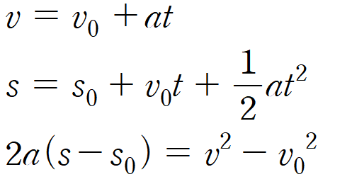
이 두 식에서 dt가 공통이므로 ads = vdv라는 공식을 유도할 수 있습니다.

 

위 3개의 식으로부터 등가속도 운동 공식이 유도됩니다.

 

등가속도운동

 

일정한 힘이 주어지고 있는 상황은 등가속도운동이라고 생각하시면 됩니다.

뉴턴의 제 2법칙 F=ma에 따라 힘이 일정하고 질량은 대부분의 경우 일정하니 가속도도 일정한 것이죠.

대표적인 등가속도운동으로는 자유낙하운동이 있습니다.

 

투사체의 운동

 

투사체는 포물선궤적을 그리며 운동합니다.

투사체의 운동은 x축의 등속도운동과 y축의 등가속도운동의 합입니다.

x축으로 어떤 힘도 받고있지 않기 때문에 등속도 운동이고, y축으로는 중력만 받고있기 때문에 등가속도 운동입니다.

 

운동해석에 쓰이는 좌표계들

 

운동마다 무조건 x-y좌표계를 사용해 운동을 분석하는 것이 아니고, 때에 따라 n-t , r-theta좌표계를 적절히 활용해주어야 합니다. 하지만, n-t좌표계와 r-theta좌표계는 원점을 질점의 위치와 동일하게 놓기 때문에 좌표계가 회전을 하게됩니다.

이에 따라, 각 좌표계에서의 속도, 가속도 공식이 달라지게 됩니다. 각 좌표계에서 속도, 가속도 공식이 어떻게 되는 지 유도해보고, 다음 장에서 문제도 풀어보도록 하겠습니다.

 

직교좌표계

 

n-t, r-theta좌표계에 대해 다루기 전에 직교좌표계에서 위치를 위치벡터로 나타냈을 때 속도, 가속도 공식이 어떻게 유도되는 지 짚고 넘어가겠습니다. n-t, r-theta 좌표계의 이해에 도움이 됩니다.

 

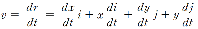
직교좌표계의 원점은 움직이지 않습니다. 원점을 기준으로 질점까지의 위치를 r = r(t)와 같은 위치함수로 표현할 수 있습니다. 임의의 질점의 위치벡터 r = xi + yj입니다.

 

이때, i, j 벡터는 단위벡터이므로 크기도 변하지 않고 방향도 변하지 않아 di/dt, dj/dt는 0입니다.

따라서 우리가 알고 있던 식이 유도된 것입니다.  n-t , r-tehta 좌표계에서는 고려해줘야겠죠^^

 

 

접선-법선 좌표계(Normal-Tangential Coordinate)

 

n-t좌표계의 원점은 그 순간에 질점의 위치이다. t축과 n축이 있는데 t축은 경로의 접선방향이고 위치 s가 증가하는 방향이다. 그리고 n축은 t축에 수직이고, 곡선의 오목한 쪽이 (+)방향이다.

가속도의 방향은 경로의 접선방향이 아니고 호도선도(속도그래프)의 접선방향이고, 속도의 방향은 경로의 접선방향이다.

따라서, n-t좌표계에서 속도는 경로함수 s(t)를 미분하면 얻을 수 있다.

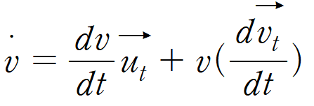
이제 가속도를 구해줘야한다. 속도를 시간에 대해 미분해주면 되는데 t축이 계속해서 움직인다는 것을 잊지 말자!!!

t축의 변화율을 구하기 위해서는 미소각도 d(theta)만큼 회전한 새로운 좌표계를 생각해야한다. 두 좌표계로 부터 d(ut)가 나온다. 단위벡터의 크기가 1이기 때문에 d(ut) = (1)d(theta)이다. 크기는 이렇게 구해지고, 방향은 dut가 0에 가까워지면 새로운 좌표계의 ut축과 기존 좌표계의 ut축이 거의 일치하게 된다. 그러면 d(ut)벡터는 un축 방향임을 알 수 있다.

 

두 가지 극단적인 운동 예시를 생각하면 n-t좌표계를 이해하기 쉽다.

첫 번째로는 직선운동이다. 직선운동에서 t축의 방향변화는 없으므로, 앞에 항만 남게된다.

따라서 a = dv/dt이다. 그래서 가속도의 접선성분을 속도의 시간에 대한 변화율(the time rate of change in the magnitude of velocity)이라고 한다.

두 번째로는 속도가 일정한 곡선운동이다. 속도의 변화는 없으므로 앞에 dv/dt는 0이다.

a = an이 된다. 그래서, 가속도의 법선성분을 속도의 방향에 대한 변화율(the time rate of change in the direction of velocity)이라고 한다.

 

 

원통좌표계(Spherical-Cylindrical Coordinate)

 

원통좌표계에서 원점은 n-t좌표계에서와 같이 그 순간 질점의 위치다.

n-t좌표계와의 차이점은 r-theta(원통좌표계)는 어떤 원점이 고정되어 있고 이 원점이 시점, 질점의 위치가 종점인 r벡터로 위치를 표현한다. 위치또한 시간에 따라 변화하므로 r=r(t)로 나타낼 수 있다.

 

속도를 알아보자. 속도는 다음 그림에서 유도해보도록 하겠다.

 

이때 반경방향 성분 Vr은 반경방향 좌표의 길이변화율(r dot)이고, 횡방향 성분 Vtheta는 원주방향 운동속도로 해석된다.

선속도와 각속도의 관계를 생각해보면 각속도 omega라면 선속도는 r(omega)이다. 이걸 생각하면 왜 횡방향성분이 원주방향 운동속도인지 이해가 된다~!

 

가속도도 비슷하게 유도된다.

 

 

병진좌표계를 이용한 두 질점의 상대운동

 

왜 상대운동을 이용해 운동을 해석할까?

질점에 대한 운동경로가 복잡한 경우에는 두 개 이상의 좌표계를 이용해서 운동을 부분적으로 관찰할 수 있기 때문에 상대운동을 이용해 운동을 분석한다.

예를 들면, 프로펠러 끝에 위치한 질점의 운동은 먼저 고정좌표계로부터 헬리콥터의 운동을 관측한 다음 비행기에 부착된 좌표계로부터 측정되는 질점의 원운동을 중첩시킨다면, 훨씬 쉽게 기술된다.

 

상대운동에서는 고정관측자가 있다. 고정관측자 기준으로 임의의 질점 B의 위치를 나타낸 벡터가 rb 벡터이다.

병진관측자 기준으로 B의 위치를 나타낸 벡터가 ra벡터이다. 그리고 두 좌표계의 위치를 나타낸 벡터가 r(b/a)벡터이다.

밑에 그림을 보면 이해하기 쉬울 것이다.

 

 

 

 

 

 

 

 

'동역학' 카테고리의 다른 글

회전좌표계를 이용한 상대 운동 해석 + 문제풀이  (0) 2022.10.02
[동역학] 질점의 운동역학: 일과 에너지  (2) 2022.10.01
동역학을 이용한 물체의 운동분석(feat. 동역학의 쓰임)  (2) 2022.09.24
관성에 대한 이해  (0) 2022.09.20
[동역학] 질점의 운동학 문제풀이  (0) 2022.09.19
    '동역학' 카테고리의 다른 글
    • [동역학] 질점의 운동역학: 일과 에너지
    • 동역학을 이용한 물체의 운동분석(feat. 동역학의 쓰임)
    • 관성에 대한 이해
    • [동역학] 질점의 운동학 문제풀이
    충남대이적
    충남대이적
    충남대학교 메카트로닉스공학과 박상태입니다. 제 이름은 서로 상 相 클 태 泰 입니다. 이름대로 혼자만 성장하는 것이 아닌, 같이 성장하는 사람이 되고싶습니다.

    티스토리툴바