Others/동역학

회전좌표계를 이용한 상대 운동 해석 + 문제풀이

충남대이적 2022. 10. 2. 17:01

이번 글에서는 회전좌표계를 이용한 상대 운동 해석에 대해서 공부해보고자 한다.

사실 나는 이 챕터를 공부하기 전까지 상대운동을 기술할 때 병진이동좌표계를 사용한다는 것을 몰랐다.(부끄럽다)

여태까지는 병진이동좌표계를 사용했다. 그리고 병진이동좌표계를 사용하면 이동좌표계의 단위벡터의 방향이 변하지 않기 때문에 식이 간단해진다. 하지만, 회전좌표계를 사용하면 단위벡터의 방향이 바뀌기 때문에 이것을 어떻게 처리할 지 이글에서 소개하겠다.

 

동역학이 원래 그렇지만 이 장도 개념은 별거없다. 하지만 문제풀이 들어가면 이해가 안된다. 그래서 문제도 많이 풀어서 여러분들이 학습할 때 도움이 되도록 해보겠다. 레쓰기릿!!

 

회전좌표계에서의 속도

 

[왼] 병진이동좌표계, [오] 회전좌표계

병진이동좌표계에서는 좌표계가 회전하지 않기때문에 x' - y' 좌표계의 단위벡터 i,j의 방향변화를 생각할 필요가 없다. 하지만, 회전좌표계에서는 생각해야한다.

 

상대좌표계를 활용하여 위치를 나타내면 다음과 같다. 지금은 복잡해보일지 몰라도 상대좌표계를 사용함으로써 물체의 위치를 손쉽게 나타낼 수 있다.

 

속도 식을 증명해보자.

 

$$r_B = r_A + r_{B/A}$$

 

우리가 알고 싶은 것은 $V_B$이기 때문에 시간에 대해 위치식을 미분해보자

$$\frac{d(r_B)}{dt} = \frac{d(r_A)}{dt} + \frac{d}{dt}(x_Bi + y_Bj)$$

$$\frac{d}{dt}(x_Bi + y_Bj) = (\dot{x_B}i\;+\dot{y_B}j) + (x_B\dot{i} + y_B\dot{j})$$

 

이때 $\dot{x_B}i + \dot{y_b}j$는 이동하는 A점에서 본 B의 속도로 $(V_{B/A})_{xyz}$이다.

 

이제 단위벡터의 미분값을 살펴봐야한다.

 

 

미소시간 $dt$동안 좌표계가 미소각도만큼 회전했을 때에 변위는 $di$로 나타낼 수 있다. 단위벡터이기 때문에 크기는 1이고, 방향은 $j$방향입니다.

 

$$\lim_{\triangle{t} \rightarrow{0} }\frac{\triangle{{i}}}{\triangle{t}} = \lim_{\triangle{t} \rightarrow 0}\frac{\triangle{{\theta * 1}}}{\triangle{t}} = \Omega j$$

 

$x$축에 적용한대로 $y$,$z$축에도 적용하면 다음과 같은 결과가 나온다.

$$\frac{di}{dt} = \Omega\times i  \qquad\frac{dj}{dt} = \Omega\times j$$

 

 

속도 공식

각 항의 의미를 살펴보자.

 

$V_B$와 $V_A$는 고정좌표계를 기준으로 측정된 절대속도이다.

$\Omega$는 고정좌표계에서 측정한 회전좌표계의 각속도이다.

$(V_{B/A})_{xyz}$은 회전좌표계안에 있는 A점에서 본 B의 속도이다.

 

가속도 공식

 

이는 가속도 공식인데 각 항의 의미를 살펴보자.

$a_B$와 $a_A$는 고정좌표계에서 측정한 절대속도이다.

$\Omega$와 $\dot{\Omega}$은 고정좌표계에서 본 회전좌표계의 각속도이다.

$(V_{B/A})_{xyz}$와 $(a_{B/A})_{xyz}$는 회전좌표계 안에있는 A점에서 본 B점의 속도와 가속도이다.

 

이제 문제를 풀러 가보자.

 

문제풀이

*문제를 풀 때 단순히 공식으로 풀게 되면 틀릴 수도 있다.(내가 그랬다)

어떤 좌표계에서 정의된 벡터인지 유념해야한다(이 말을 꼭 기억해라) 그리고 단순히 공식만을 이용해 풀지말고 속도의 방향이 어떻게 되는 지 그려가며 풀어볼 것을 권한다(운동을 이해하자!)

 

 

문제1

 

 

*힌트

더보기

점C의 속도를 rodAB를 통해 구할 수 있다. 그리고 D점에서 본 C의 상대속도의 방향또한 알 수 있다. 한번 상상해봐라. 당신이 점 D에서 rodDE와 같이 회전한다고 상상해봐라. C의 상대속도는 어떻게 되는가? (Think Hard)

식은 하나 미지수는 두 개지만, 벡터이므로 i,j방향 두 개의 조건이 있는 것과 마찬가지다.

 

 

문제2(135번만 풀면 됩니다)

 

 

더보기

점C의 속도를 rodAB에 수직하게 한 것은 아니겠죠? 속도는 경로의 접선방향입니다!

 

 

문제3(상대속도해석, 회전좌표계를 이용한 해석 모두 가능한 문제, 두 개다 해보셔도 좋을 거 같네요)

 

 

 

 

 

 

문제풀이

1번

 

속도는 다음과 같이 구하면 된다. 이 문제에서는 X-Y, x-y좌표계나 단위벡터가 같기 때문에 상관없지만 만약에 다르다면 자신이 어떤 좌표계를 기준으로 벡터를 정의했는 지 정확하게 표시하는 것이 중요하다. (이걸 생각안하고 했으면 2번문제에서 틀렸을 것이다)

 

다음 사진은 벡터를 그려서 나타낸 것이다.

 

 

 

2번

 

내가 처음에 틀렸던 이유가 V_A는 고정좌표계에서 정의하고, 나머지 항들은 회전좌표계를 기준으로 정의해서 틀렸었다. 통일 해줘야 한다!

 

다음은 각 항들을 벡터로 표시한 것이다.

 

 

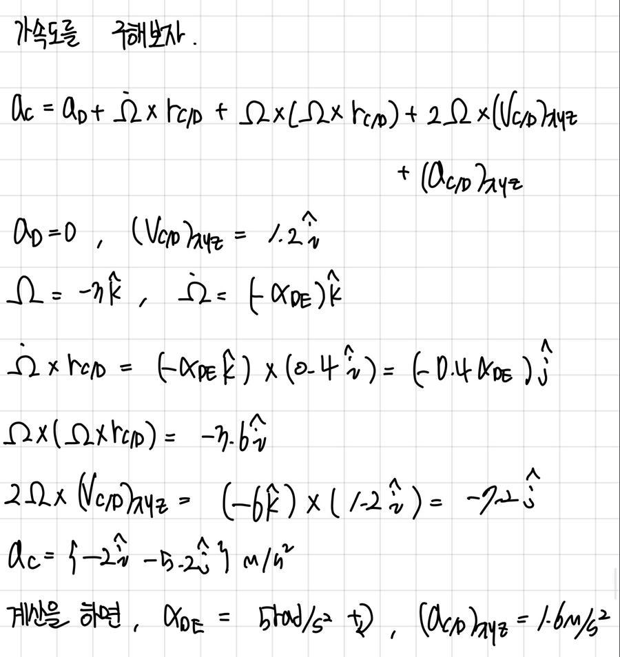
3번

 

이 문제에서 회전좌표계를 저처럼 B점을 원점으로 15도 회전한 상태로 정의하면 고정좌표계와 회전좌표계의 단위벡터가 다르니 유의하셔야합니다.

그리고 B에서 본 C의 상대속도((V_C/B)xyz)가 0인 이유는 C점은 회전만 하기 때문입니다. 회전좌표계는 같이 회전하기 때문에 회전좌표계내에서는 회전을 알 수 없고 2번 문제처럼 앞으로 왔다 갔다 하는 것만 알 수 있습니다.